Dr. Harsha Vardhan Tetali

Postdoctoral Researcher | Department of Computer Science | University of Helsinki

Dr. Harsha Vardhan Tetali

About Me

Welcome to my website! I am Harsha Vardhan Tetali, a Postdoctoral Researcher in the Department of Computer Science at University of Helsinki. My present research focuses on working on machine learning models for metabolic models.

I am passionate about research involving mathematical ideas in machine learning and signal processing. I previously worked on modeling of SSD NAND channel modeling at Marvell Semiconductor, Inc. My PhD work mainly focused on physics-informed matrix factorizations. My work has been published in IEEE Transactions on Signal Processing.

When I'm not in the lab or classroom, I enjoy long walks around the city of Helsinki.

Research

My research integrates mathematical concepts from various fields into machine learning, with a focus on physics-informed approaches and signal processing applications.

Machine Learning for Metabolic Models

Currently developing machine learning models for metabolic systems at University of Helsinki, exploring computational approaches to understand cellular metabolism.

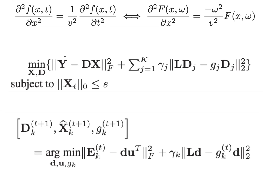
Physics-Informed Matrix Factorizations

My PhD research focused on incorporating physical constraints and domain knowledge into matrix factorization algorithms for improved performance and interpretability.

SSD NAND Channel Modeling

Industrial research experience at Marvell Semiconductor involving mathematical modeling of storage device channels for improved performance and reliability.

Research Philosophy

My research ideology is built on the foundation of mathematically rigorous approaches to machine learning problems. I investigate how domain-specific knowledge can be incorporated into learning algorithms to improve both performance and interpretability. This work contributes to the broader field of physics-informed machine learning and has practical applications in engineering and computational biology.

Research Aims & Vision

Core Research Framework

My research focuses on developing interpretable physics-informed machine learning algorithms for structural health monitoring (SHM). The central aim is to enhance interpretability within physics-informed machine learning (PIML) by leveraging classical machine learning algorithms that are better suited for interpretability in critical applications.

θ* = arg max ||M(y - F(θ))|| + γ||T(θ, c)||

This optimization framework incorporates physical constraints through regularization, where y represents data from a physical process, F is a machine learning model, M is a masking operator, and T represents a partial differential operator with coefficients c.

Primary Research Directions

1. Hybrid Mathematical Methodologies

Developing novel methodologies that extend beyond Physics-informed Matrix Factorization into more sophisticated mathematical domains. This includes exploring constraint-based approaches in differential geometry, particularly involving manifold structures, and investigating how physical constraints can be meaningfully incorporated into abstract mathematical frameworks.

2. Interpretability in AI Systems

Advancing the development of more transparent and reliable AI systems for physics-based data. Key focus areas include designing architectures that maintain high performance while reducing data requirements through intelligent incorporation of domain knowledge and physical constraints, bridging the gap between traditional physical modeling and modern machine learning approaches.

3. Deep Learning Theory & Foundations

Conducting fundamental research in deep learning interpretability with emphasis on developing theoretical foundations for neural networks. This includes investigating mathematical principles underlying neural network behavior, analyzing approximation capabilities in various function spaces, and establishing rigorous frameworks for understanding learning dynamics and generalization properties.

Specific Research Applications

Inverse Imaging for Defect Detection

Developing matrix factorization models combined with wave operators for structural health monitoring. This approach enables interpretability by recovering distinct wave data modes and successfully identifying relevant artifacts in regions with missing data, particularly valuable for non-destructive evaluation applications.

Data-driven Approximate Eigen-decomposition

Exploring how wave-informed matrix factorization exhibits data-driven approximate eigen-decomposition properties. This enables extraction of vectors that closely approximate eigenvectors of wave operators, with approximation errors guided by input data characteristics rather than finding exact eigenvectors.

Environmental Sustainability Applications

Applying physics-informed approaches to environmental monitoring and infrastructure assessment. This includes monitoring critical infrastructure from power plants to renewable energy systems, where the framework's ability to capture nonlinear behaviors while maintaining computational efficiency and interpretability is crucial.

Theoretical Contributions

My research encompasses three interconnected theoretical frameworks:

Future Research Vision

Looking ahead, I am particularly interested in extending these theoretical frameworks to more sophisticated mathematical landscapes, especially in nonlinear partial differential equations, manifolds, and related fields. This extension presents opportunities to explore how physical constraints and interpretability principles can enhance our understanding of complex mathematical systems.

My vision involves developing new theoretical tools that bridge the gap between physics-informed approaches and advanced mathematical structures, potentially leading to novel insights in both theoretical and applied domains. To fully realize this vision, I seek collaborations with researchers in functional analysis, differential geometry, and theoretical optimization.

Impact & Applications

Educational Impact

My research contributes directly to educational initiatives, with theoretical frameworks and algorithms now serving as foundational material in graduate-level Physics-informed Machine Learning courses. This demonstrates the pedagogical value and broader educational impact beyond technical contributions.

Nuclear Safety Applications

Practical applications include Department of Energy-funded projects for non-destructive evaluation of nuclear fuel rod cladding, leveraging wave-informed matrix factorizations to create "digital fingerprints" of ceramic composite materials for rapid structural integrity assessment.

Publications

My research has been published in top-tier journals and conferences across signal processing, machine learning, and structural health monitoring.

Journal Publications

Wave Physics-Informed Matrix Factorizations
Harsha Vardhan Tetali, Joel B. Harley, Benjamin D. Haeffele
IEEE Transactions on Signal Processing (IEEE-TSP), 2024
DOI Link
Finding Faults in PV Systems: Supervised and Unsupervised Dictionary Learning with SSTDR
Ayobami S. Edun, Cody LaFlamme, Samuel R. Kingston, Harsha Vardhan Tetali, Evan Benoit, Michael Scarpulla, Cynthia M. Furse, Joel B. Harley
IEEE Sensors Journal, 2020
DOI Link

Conference Publications

Physics-Informed Guided Wavefield Data Completion
Harsha Vardhan Tetali, Joel B. Harley
Structural Health Monitoring, 2023
Conference Link
Learning Tensor Representations to Improve Quality of Wavefield Data
Harsha Vardhan Tetali, Joel B. Harley
50th Annual Review of Progress in Quantitative Nondestructive Evaluation (QNDE), Austin, Texas, USA, 2023
DOI Link
On the Generalization Error of Meta Learning for the Gibbs Algorithm
Yuheng Bu, Harsha Vardhan Tetali, Gholamali Aminian, Miguel Rodrigues, Gregory Wornell
2023 IEEE International Symposium on Information Theory (ISIT), Taipei, Taiwan, 2023
DOI Link
A physics-informed machine learning based dispersion curve estimation for non-homogeneous media
Harsha Vardhan Tetali, Joel B. Harley
183rd Meeting of the Acoustical Society of America, Nashville, Tennessee, USA, 2022
Conference Link
Unsupervised Wave Physics-Informed Representation Learning for Guided Wavefield Reconstruction
Joel B. Harley, Benjamin D. Haeffele, Harsha Vardhan Tetali
International Conference on Dynamic Data Driven Applications Systems (DDDAS), Boston, Massachusetts, USA
Conference Link
Wave Physics Informed Dictionary Learning In One Dimension
Harsha Vardhan Tetali, K. S. Alguri, J. B. Harley
2019 IEEE 29th International Workshop on Machine Learning for Signal Processing (MLSP), Pittsburgh, PA, USA, 2019
DOI Link | Poster
Beyond Black-box Dictionary Learning for Waves
Harsha Vardhan Tetali, K. Supreet Alguri, Joel B. Harley
Machine Learning and the Physical Sciences - Workshop at the 33rd Conference on Neural Information Processing Systems, Vancouver, CA, 2019
Workshop Paper
Learning Guided Wave Dispersion Curves from Multi-Path Reflections with Compressive Sensing
Joel B. Harley, K. Supreet Alguri, Harsha Vardhan Tetali, Soorosh Sabeti
Structural Health Monitoring, 2019
Conference Link

ArXiv Preprints

Wave-informed Matrix Factorizations with Global Optimality Guarantees
Harsha Vardhan Tetali, Joel B. Harley, Benjamin D. Haeffele
arXiv preprint
Access from ArXiv

For a complete and up-to-date list of publications, please visit my Google Scholar profile.

Professional Experience

Postdoctoral Researcher | University of Helsinki
May 2025 - Present

Conducting research on machine learning models for metabolic systems in the Department of Computer Science.

Staff Engineer | Marvell Semiconductor, Inc.
May 2023 - December 2024

Worked on advanced SSD NAND channel modeling, developing mathematical models for storage device optimization.

SSD NAND Channel Modeling Intern | Marvell Semiconductor, Inc.
May 2022 - August 2022

Contributed to channel modeling research for solid-state drive optimization.

Research and Teaching Assistant | University of Florida
August 2018 - May 2023

Conducted PhD research on physics-informed matrix factorizations while assisting with undergraduate courses.

Research and Teaching Assistant | Indian Institute of Technology Gandhinagar
August 2016 - May 2018

Pursued M.Tech degree while assisting with research projects and teaching responsibilities.

Education

Ph.D. in Electrical and Computer Engineering
University of Florida
2023
M.Tech. in Electrical Engineering
Indian Institute of Technology Gandhinagar
2018
B.Tech. in Electronics and Communication Engineering
Sardar Vallabhbhai National Institute of Technology Surat
2016

Awards & Honors

Best Teaching Assistant (Department of ECE)
University of Florida, 2018

Curriculum Vitae

Download my complete CV: Curriculum_Vitae_2025_Summer.pdf

Research Interests

Machine Learning, Signal Processing, Physics-Informed Methods, Matrix Factorizations, Computational Biology, Storage Systems

Skills & Expertise

Programming: Python, MATLAB, C++
Machine Learning: Deep Learning, Matrix Factorization, Physics-Informed Neural Networks
Signal Processing: Channel Modeling, Optimization, Statistical Methods
Tools: TensorFlow, PyTorch, NumPy, SciPy

Professional Affiliations

IEEE Member, Professional associations in signal processing and machine learning